Para establecer una magnitud física, se han hecho una serie de procedimientos para medir esa magnitud y asignarle unas unidades, por ejemplo: masa, longitud, etc.
Estos patrones se han definido de una forma aleatoria, es decir, de forma arbitraria. La Conferencia General de Pesos y Medidas de París (CGPM) establece estas magnitudes físicas.
En 1971 la CGPM, seleccionó 7 magnitudes básicas que constituyen la base del sistema internacional. Cada magnitud es independiente desde el punto de vista dimensional.
Unidades Fundamentales
| Magnitud | Unidad |
|---|---|
| Longitud | metro (m) |
| Masa | Kg (Kg) |
| Tiempo | seg (sg) |
| Temperatura termodinámica | Kelvin (K) |
| Intensidad de corriente eléctrica | Amperio (A) |
| Cantidad de sustancia | mol (ml) |
| Intensidad luminosa | Candela (cd) |
El metro es la longitud igual a 165073,73 longitudes de onda en el vacío de la radiación correspondiente a la transición entre los niveles 2p10 y 5d5 del átomo de Kripton 86 (Kr86).
La unidad de masa, es igual a la masa del prototipo internacional del Kg.
El segundo, es la duración de 9192631770 períodos de la radiación correspondiente a la transición entre los dos niveles hiperfinos del estado fundamental de Cesio 133 (Cs133).
El Kelvin, es la unidad de temperatura termodinámica siendo 1/273,16 de la temperatura termodinámica del punto triple del agua.
El Amperio, es la unidad de intensidad de una corriente constante que mantenida en dos conductores paralelos rectilíneos, de longitud infinita, de sección circular despreciable y colocados a un metro el uno del otro en el vacío, produce entre estos conductores una fuerza igual a 2·10-7 N/m.
El mol, es la cantidad de sustancia de un sistema que contiene tantas unidades elementales como átomos hay en 0,012 Kg de Carbono 12 (C12).
La Candela, es la intensidad luminosa en la dirección perpendicular de una superficie de 1/6·103m2 de un cuerpo negro a la temperatura de congelación del platino bajo la presión de 101325 N/m2.
Unidades Derivadas
| Fuerza | N |
| Velocidad | m/s |
| Aceleración | m/s2 |
| Energía | Julio |
| Trabajo | Julio |
| Potencia | W |
Unidades Suplementarias
| Angulo plano | Radian (rd) |
| Angulo sólido | Extereoradian (sr) |
El Radian, es el ángulo plano que, teniendo su vértice en el centro de un círculo, intercepta sobre la circunferencia de este círculo un arco de longitud igual al radio.
L = 2·πrEl estereoradian, es el ángulo sólido que, teniendo su vértice en el centro de una esfera deinida sobre la superficie esférica un área igual a la de un cuadrado que tiene como lado el radio de la esfera.
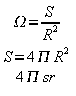
En ángulos pequeños tenemos que dΩ = ds / R2 cuando es perpendicular al radio, cuando no, dΩ = ds cos θ / R2.
Prefijos del Sistema Internacional para Múltiplos y Submúltiplos
| Factor | Prefijo | Símbolo |
|---|---|---|
| 1018 | exa | E |
| 1015 | peta | P |
| 1012 | tera | T |
| 109 | giga | G |
| 106 | mega | M |
| 103 | kiro | K |
| 102 | hecto | H |
| 101 | deca | D |
| Factor | Prefijo | Símbolo |
|---|---|---|
| 10-18 | atto | a |
| 10-15 | jento | j |
| 10-12 | pico | p |
| 10-9 | nano | n |
| 10-6 | micro | μ |
| 10-3 | mili | m |
| 10-2 | centi | c |
| 10-1 | deci | d |
Ecuación de Dimensiones
s
v = --- [s] = L
t [t] = T
[ds]
[v] = ------ = L T-1
[dt]
F = m · a [m] = Kg = M
[F] = [m][a] [a] = m/s2 = L T-2
[F] = M L T-2
M M'
F = G ------- [F] = M L T-2
R2 [R2] = L2
[M] = [M1] = M
[F] [R2]
[G] = ---------------------
[M] [M']
[M] L T-2 · L2
[G] = --------------------- = L3 T-2 M-1
M2
A continuación, como ejemplo, veamos como influye la masa, la altura y a la acelaración de la gravedad en la velocidad de caida de un objeto en el vacío:
| v = f (m,h,g) | v = K ma hb gc |
| [v] = [ma] [hb] [gc] | LT-1 = Ma Lb (LT-2)C |
| [v] = LT-1 | LT-1 = Ma Lb Lc T-2c |
| [m] = M | LT-1 = Ma Lb+c Lc T-2c |
| [h] = L | L &rarr 1 = b+c => b = 1/2 |
| [g] = LT-2 | L &rarr -1 = -2c => c = 1/2 |
| M &rarr 0 = a | |
| v = k mo h1/2 g1/2 = k √hg | |
| v - v0 = 2gh; k √2 => v = √2gh | |
Cuando se realiza una medición, bien sea utilizando un aparato, o bien una ecuación matemática, existe un error:
Ambos errores pueden ser positivos o negativos. Veamos a continuación, un ejemplo práctico:
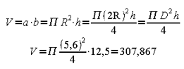
Un estudiante determina por medida directa el volumen de un cilindro y obtiene un valor de 308±4 cm³, otro lo hace por cálculo midiendo previamente con una regla milimetrada, mide el diámetro, 5,6cm y la altura, 12,5cm.
a) ¿Cuál será más exacto?
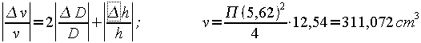
b) Un tercer estudiante mide con un calibre el diámetro 5,62±0,01cm y la altura, 12,54±0,01.Calcular el volumen y comparar este resultado con el primero.
a)

Ln v = Ln Π + 2 Ln D + Ln h - Ln 4
; ε = 0,1 cm

Δv = 0,044 · 307,867 = 13,55 cm³
v = 308±14cm³
b)
Ln v = Ln Π + 2 Ln D + Ln h - Ln 4


Δv = 0,044 · 311,072 = 1,4 => v = 311±1,4
Teniendo en cuenta este resultado, el menor error lo comete el tercero.
Cuando se tiene una línea y se le da un sentido, se dice que tiene una línea orientada. Si tenemos dos rectas paralelas con el mismo sentido, ambos tienen la misma dirección. La dirección viene dada por el ángulo que forma con unos ejes determinados.
Las magnitudes vectoriales, son aquellas que además de tener una longitud, tienen un sentido y una dirección.
Vectores equipolentes, son aquellos que tienen el mismo módulo y dirección. Los vecctores libres pueden desplazarse en su directtriz o directrices paralelas. Los vectores deslizantes, son aquellos que solo se mueven en su directriz.
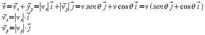
Un vector cualquiera se puede considerar como la suma de dos vectores o más. Al conjunto de vectores cuya suma es el vector dato, a estos vectores, se les denomina componentes del vector.
Th. de Pitágoras

Componentes rectangulares en el espacio


El resultado es otro vector cuyo módulo es k veces el módulo del vector, con la misma dirección y sentido que el vector original, es decir sólo varía su módulo.

Propiedades:
- Conmutativa: 
- No es asociativa: 
- Distributiva: 
Así, el producto escalar de dos vectores es:

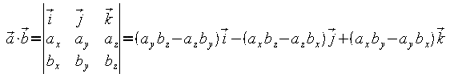
El producto vectorial, es otro vector perpendicular al plano formado por 'a' y 'b' y sentido positivo, llevando de "a" a "b".

Hemos de tener en cuenta que el sentido contrario al de las agujas del reloj, es positivo y sentido contrario, negativo.


Propiedades:
- No es conmutativa, ya que sen α ≠ sen (- α) 
- No es asociativa: 
- Si cumple la propiedad distributiva: 
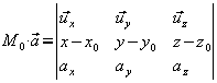
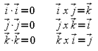
Se define el momento vectorial de un vector respectoa a un punto, como el producto vectorial de
por dicho vector:
; donde
es un vector cuyo origen es el punto, y el extremo es cualquiera de los puntos de intersección con el vector
.
Es decir, el momento de un vector
aplicado a un punto A(x,y,z) respecto a otro punto O(x0,y0,y0) viene determinado por:
Consideremos un sistema de vectores:
Es la proyección del momento central respecto a un eje.


Dados 3 vectores y un punto, tenemos que:
Es el momento resultante multiplicado por la resultante.
Según el teorema de Varignon, el momento resultante coincide con el momento de la resultante únicamente cuando el sistema de vectores es concurrente.
El momento mínimo, es concurrente cuando el punto de aplicación es el mismo para todos los vectores:
Dos vectores son paralelos cuando:
ax ay az
--- = --- = ---
bx by bz
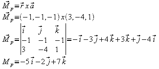
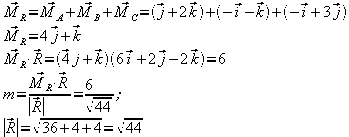
Ejemplo 1: Calcular el momento respecto al punto (1,1,1) del vector
situado en el origen
. Tenemos que:
Ejemplo 2: Dado un sistema de vectores
cuyos puntos de aplicación son A(1,0,0), B(0,1,0) y C(0,0,1) calcular las invariantes de este sistema de vectores, respecto del origen.
Ejemplo: Tenemos un vector
y es coplanario de otro vector b, de modulo 25, siendo sus cosenos directores proporcionales a (2, -2, 1). Vamos a calcular:
________________
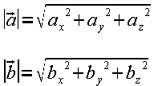
|b| = 25; 25 = √ bx² + by² + bz²
5 = bx² + by² + bz²
cos α cos β cos γ
------ = ----- = -----
2 -2 1
cos α = - cos β
cos &alpha = 2 cos γ
bx by
---- = - ---- => bx = -by
|b| |b|
bx bz
---- = 2 ---- => bx = 2bz
|b| |b|
bx²
625 = bx + bx² + -----
4
9b²x = 2500
50 50 50
bz = ---- ; bx = ---- ; by = - ----
6 3 3
50 50 50
b ( ---- , - ---- , ---- )
3 3 6
a · b = |a| · |b| cos α
100
a · b = -----
3
|i j k |
a x b |7 3 -4 |
|50/3 -50/3 50/6 |
100 / 3
cos α = --------------------------------
____ _______________________
√74 √50²/9 + 50²/9 + 50²/36
_____________ ____
|a| = √ 49 + 9 + 16 = &radic 74
© Mario Izquierdo, 2025 | Aviso legal | Política de Privacidad